Sprawozdania

Dokumenty do pobrania:

bilans za rok 2022
  bilans2022-1

  bilans2022-2

rachunek zysków i strat za rok 2022

  RZIS 2022-1

  RZIS2022-2

zestawienie zmian w funduszu jednostki za rok 2022

  zestawienie zmian

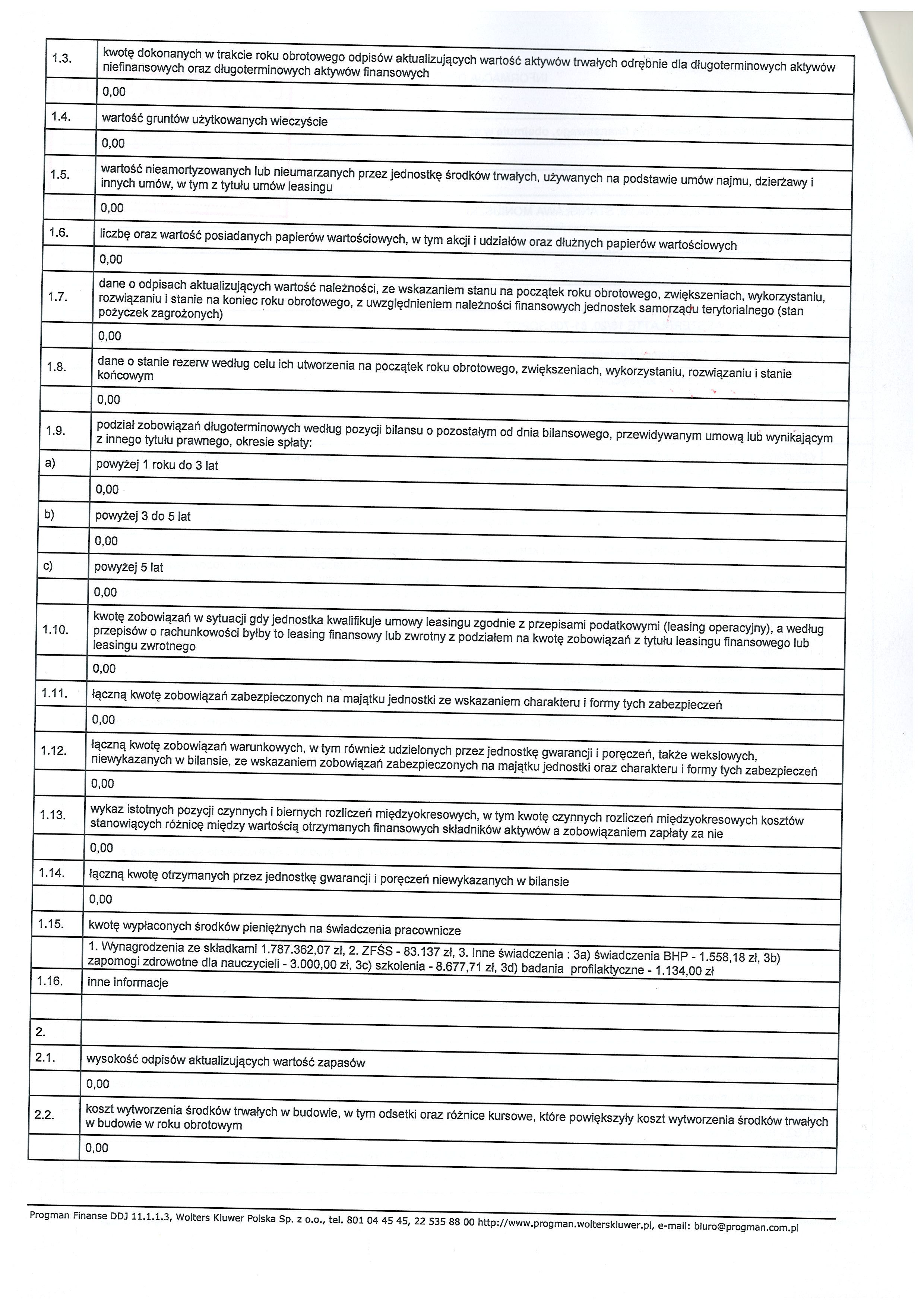
informacja dodatkowa za rok 2022

  Informacja dodatkowa str. 1

  Informacja dodatkowa str. 2

  Informacja dodatkowa str. 3

bilans za rok 2019

  Bilans 2019-1

  Bilans 2019-2

rachunek zysków i strat za rok 2019

  RZIS 2019-1

  RZIS 2019-2

rachunek zysków i strat wariant porównawczy za rok 2019

  RZIS 2019-por

zestawienie zmian za rok 2019

  Zestawienie zmian 2019

informacja dodatkowa za rok 2019

  Informacja dodatkowa 2019-1

  Informacja dodatkowa 2019-2

  Informacja dodatkowa 2019-3

 

 

bilans za rok 2018

  Bilans str. 1

  Bilans str. 2

rachunek zysków i strat za rok 2018

  Rachunek zysków i strat str. 1

  Rachunek zysków i strat str. 2

informacja dodatkowa za rok 2018

  Informacja dodatkowa str. 1

  Informacja dodatkowa str. 2

  Informacja dodatkowa str. 3

zestawienie zmian za rok 2018

  Zestawienie zmian

Rejestr zmian

Data wprowadzenia dokumentu do BIP: 27 maja 2019 12:48
Dokument wprowadzony do BIP przez: Kryspin Dacko
Ilość wyświetleń: 1487
03 czerwca 2023 15:51 (Kryspin Dacko) - Zmiana treści zakładki.
03 czerwca 2023 15:51 (Kryspin Dacko) - Zmiana treści zakładki.
03 czerwca 2023 15:46 (Kryspin Dacko) - Zmiana treści zakładki.